Gastro Studies

Microbial dysbiosis and colorectal cancer

Microbial dysbiosis and colorectal cancer

Microbial dysbiosis, an imbalance in gut microbiota, is a key feature in colorectal cancer (CRC) and influences inflammation, tumor growth, and response to therapy. The study investigates how gut microbial...

Microbial dysbiosis and colorectal cancer

Microbial dysbiosis, an imbalance in gut microbiota, is a key feature in colorectal cancer (CRC) and influences inflammation, tumor growth, and response to therapy. The study investigates how gut microbial...

L. reuteri and testosterone

L. reuteri and testosterone

The study reveals that aging men’s declining testosterone levels, which are linked to negative health impacts, may be counteracted by consuming probiotics. Research on male mice showed that those consuming...

L. reuteri and testosterone

The study reveals that aging men’s declining testosterone levels, which are linked to negative health impacts, may be counteracted by consuming probiotics. Research on male mice showed that those consuming...

Gut microbiota and Diabetes

Gut microbiota and Diabetes

Metabolic endotoxemia, associated with gut dysbiosis, has led to exploring probiotics as a dietary intervention. The gut microbiota, influenced by host genetics and diet, plays a crucial role in metabolic...

Gut microbiota and Diabetes

Metabolic endotoxemia, associated with gut dysbiosis, has led to exploring probiotics as a dietary intervention. The gut microbiota, influenced by host genetics and diet, plays a crucial role in metabolic...

L. reuteri and H. pylori

L. reuteri and H. pylori

This research was undertaken to explore whether incorporating Lactobacillus reuteri into the conventional triple therapy enhances the elimination success and clinical and pathological outcomes of Helicobacter pylori infection, given the...

L. reuteri and H. pylori

This research was undertaken to explore whether incorporating Lactobacillus reuteri into the conventional triple therapy enhances the elimination success and clinical and pathological outcomes of Helicobacter pylori infection, given the...

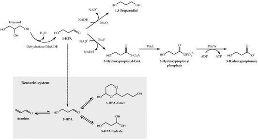
Reuterin and colorectal cancer

Reuterin and colorectal cancer

In the study “Reuterin in the healthy gut microbiome suppresses colorectal cancer growth through altering redox balance,” researchers explore the role of gut microbes in colorectal cancer (CRC) and how...

Reuterin and colorectal cancer

In the study “Reuterin in the healthy gut microbiome suppresses colorectal cancer growth through altering redox balance,” researchers explore the role of gut microbes in colorectal cancer (CRC) and how...

Gastrointestinal symptoms, anxiety, and panic disorders

Gastrointestinal symptoms, anxiety, and panic d...

The study highlights that women experience gastric and intestinal complaints at a significantly higher rate than men, with over one-quarter of women affected compared to one-seventh of men. Fatigue and...

Gastrointestinal symptoms, anxiety, and panic d...

The study highlights that women experience gastric and intestinal complaints at a significantly higher rate than men, with over one-quarter of women affected compared to one-seventh of men. Fatigue and...