
Microbial dysbiosis and colorectal cancer
Share
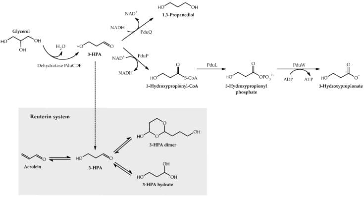
Microbial dysbiosis, an imbalance in gut microbiota, is a key feature in colorectal cancer (CRC) and influences inflammation, tumor growth, and response to therapy. The study investigates how gut microbial metabolites affect CRC, focusing on mice models with varying genetic mutations related to colon tumorigenesis. It was discovered that microbial metabolites from healthy mice or humans inhibit tumor growth, but this effect is diminished in CRC-affected mice and patients. Specifically, the study highlights a decrease in Lactobacillus reuteri and its metabolite, reuterin, in both mouse and human CRC cases. Reuterin is found to disrupt redox balance and reduce proliferation and survival of colon cancer cells by causing selective protein oxidation and hindering ribosomal biogenesis and protein translation. Furthermore, administering Lactobacillus reuteri externally was shown to limit colon tumor growth, increase tumor reactive oxygen species, and reduce protein translation in vivo. These findings suggest that a healthy microbiome, particularly through Lactobacillus reuteri and its metabolites, offers a protective mechanism against CRC.
Link to article: Reuterin Demonstrates Potent Antimicrobial Activity Against a Broad Panel of Human and Poultry Meat Campylobacter spp. Isolates
Our first product Gut Rebuild not only includes L. reuteri but is optimized for the creation of reuterin